Springe zum Seiteninhalt

Stöckli Swiss Sports AG: Materialprüfung zur Qualitätsverbesserung von Skimodellen

Case Study

  • Kunde: Stöckli Swiss Sports AG
  • Ort: Malters, Schweiz
  • Branche: Lifestyle & Sport
  • Thema: Materialprüfungen bei der Skikonstruktion

Dezember 2025

Bei der Entwicklung neuer Skimodelle stand Stöckli vor der Herausforderung, die Haftung und Belastbarkeit neu eingesetzter Materialien zuverlässig zu prüfen. Mit der Z020 von ZwickRoell werden alle relevanten Materialprüfungen – von Trommelschälversuchen bis hin zu Biege- und Ausreißprüfungen – effizient im eigenen Labor durchgeführt. Das Ergebnis: beschleunigter Entwicklungsprozess und langfristige Qualitätssicherung.

AufgabeKompetenzenLösungErgebnisProdukte

Tradition und Präzision im Skibau seit 1935

Stöckli Swiss Sports AG ist ein Schweizer Unternehmen mit Sitz in Malters, das sich seit 1935 auf die Entwicklung und Herstellung von Skis spezialisiert hat. Die Produktion umfasst jährlich rund 75.000 Paar Ski, die in über 30 Länder weltweit vertrieben werden. Neben Modellen für den Freizeitbereich fertigt Stöckli auch Hochleistungsrennski für den alpinen Rennsport und Skicross. Die gesamte Fertigung erfolgt in der Schweiz und kombiniert moderne Technologien mit handwerklicher Präzision.

Emotionsbild Biegeprüfung

Die ZwickRoell Top Kompetenzen

 

  • Bedienerfreundliche Anwendung
  • Vollautomatisierte Prüfroutinen
  • Hochwertige Werkzeuge und Komponenten
  • Zuverlässiger Service
  • Europäische Systemlösung

Die Aufgabe

Qualitätssicherung im Produktionsprozess.

Eine zuverlässige Verbindung der eingesetzten Materialien ist ein zentraler Aspekt in der Skifertigung. Um die Haftung neu eingeführter Werkstoffe im Gesamtkonstrukt bewerten zu können, wurde eine Inhouse-Prüflösung benötigt, die präzise und reproduzierbare Ergebnisse liefert. Die eingesetzte Prüfmethode ermöglicht quantitative Aussagen zur Materialhaftung und unterstützt gleichzeitig die kontinuierliche Qualitätssicherung im Produktionsprozess. 

Die ZwickRoell Lösung

Inhouse-Lösung für quantitative Haftungsprüfungen.

Eine zuverlässige Verbindung der eingesetzten Materialien ist ein zentraler Aspekt in der Skifertigung. Um die Haftung neu eingeführter Werkstoffe im Gesamtkonstrukt bewerten zu können, wurde eine Inhouse-Prüflösung benötigt, die präzise und reproduzierbare Ergebnisse liefert. Mit der Z020 AllroundLine von ZwickRoell konnten alle relevanten Materialprüfungen – von Trommelschälversuchen bis hin zu Biege- und Ausreißprüfungen – effizient im eigenen Labor durchgeführt werden. 

Mathieu Fauve, Head of Research and Development Ski

„Dank der umfassenden Prüfmöglichkeiten im eigenen Labor stellen wir sicher, dass jeder Stöckli Ski den höchsten Ansprüchen genügt. Und das sowohl für unsere Athletinnen und Athleten als auch für Freizeitfahrer"

Mathieu Fauve, Head of Research and Development
 

Das Ergebnis

Schnelle und zuverlässige Entwicklung.

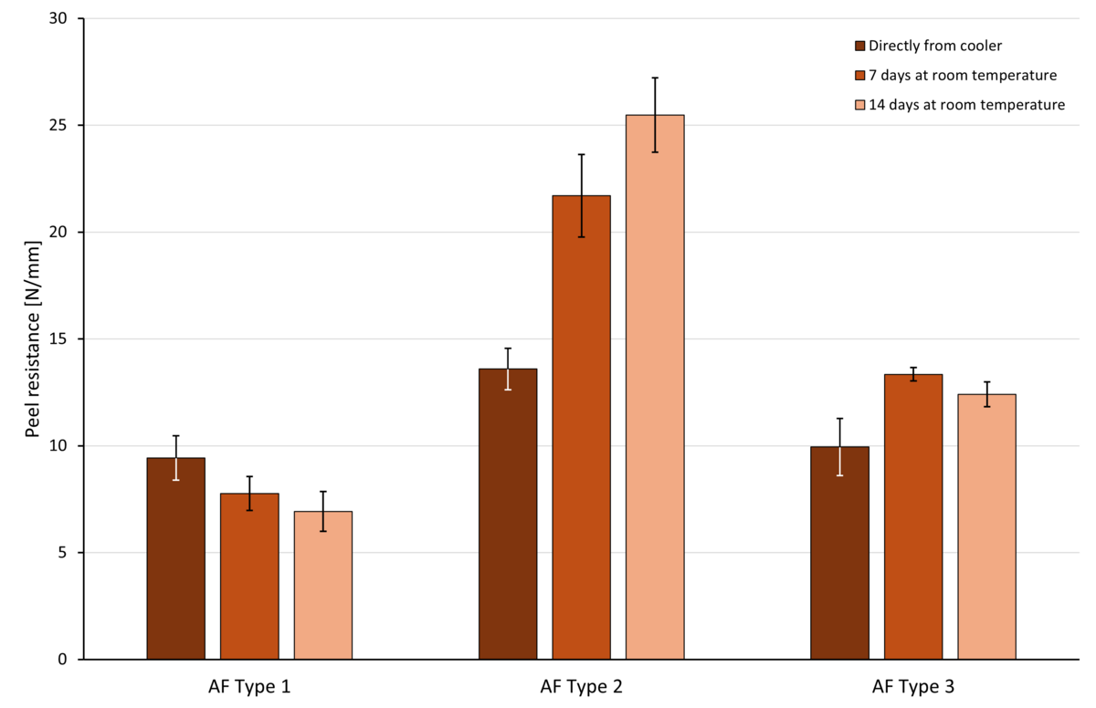
Durch die von ZwickRoell bereitgestellte Lösung lassen sich im eigenen Labor wichtige Versuche und Prüfungen effizient durchführen und analysieren. Die eingesetzte Prüfmethode ermöglicht quantitative Aussagen zur Materialhaftung und unterstützt gleichzeitig die kontinuierliche Qualitätssicherung im Produktionsprozess. Als Beispiel dient das folgende Schaubild, aus dem ersichtlich wird, wo die Haltbarkeit verschiedener Klebevliestypen bei Raumtemperatur untersucht wurde.

Hotline_3

Sie interessieren sich für quantitative Haftungsprüfungen?

 

Gerne beraten wir Sie umfassend und unverbindlich!

 

Jetzt ZwickRoell Kontaktieren

Passendes Produkt zur Case Study

Nach oben